
该图是go-windows的目录结构
如图,go的程序应该是在gopath文件夹下的,分为bin, pkg, 和src三个子文件夹
src文件夹:每个次级文件夹(如demo)就是代表一个go项目,里面存放源程序
bin文件夹:go的每个项目生成的二进制可执行程序。windows下会生成.exe文件,linux下会生成可执行文件。Go的最大特色之一就是可移植性,就是说,当生成一个demo.exe之后,将这个exe文件放在任意一台windows系统上(即使没有安装go安装包),也是可以执行的。这是让PHP,Python等脚本语言望成莫及的。
pkg文件夹:第三方库。里面存放你的项目中引用的第三方库(非官方已经提供的库)。
Go基础知识变量赋值:(有下面几种形式, 都是将a 设置为 int 12)
常量赋值:
1 itoa使用
itoa是go的常量赋值自增量,上面代码将a设置为0,b设置为1
2 string
go中string是常量,只能用双引号来表示。
a := "this is string"
a[0] = 'c' (这个是错误的,会报错)
如果要做上面的操作应该这样:
3 循环和选择结构
go中没有do while,循环结构只有for。选择结构有if和switch
if语句
切结:左括号必须和if在同一行,因此
for循环
//这里使用了一个range,key和value分别是int和string类型,key是序号,从0开始,value是值
switch语句
switch和其他语言差不多,只有一个,它不需要break,查询到一个满足条件的,执行,然后跳出
array, slice和map
array就是平时使用的数组,和C语言中的数组是一样的
二维数组:
a := [2][2]int{{1,2}, {3,4}}
slice和array接近,slice理解为array的指针,使用make进行内存分配
sl := make([]int, 10)
array和slice的转换的说明使用摘录《学习go语言》的一段:

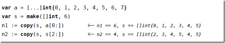
想要扩展slice,append和copy两个内建函数。
(PS:区别内建函数和第三方库函数的区别是,内建函数是小写字母开头,如copy(),第三方库函数是首字母大写,如fmt.Print())

map结构是一个hash映射
这里注意一下,很多语言在列出这样结构的时候,最后一个逗号往往都要求省略(55后面的逗号),但是Go语言中这个逗号是必须的。
练习题:1 创建一个基于for的简单的循环。使其循环10次,并且使用fmt包打印出计数器的值。
2 用goto修改1的循环,不可使用for
3 再次改写1的循环,使其遍历一个array,并将array打印到屏幕上
4 编写一个逆转字符串的程序,例如:"foobar"打印成为"raboof";
贴出我的答案:
参考文章《学习go语言》
原文链接: http://www.cnblogs.com/yjf512/archive/2012/06/02/2531514.html